유체의 에너지 방정식
유체에서 에너지는 기계적 에너지로, 아래의 3가지 항으로 구성됩니다.
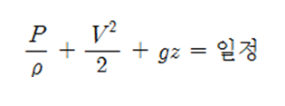
유체의 기계적 에너지 = 유동에너지(압력변수, 밀도변수) + 운동에너지(속도변수) + 위치에너지(높이변수)
유체의 압력(P), 밀도(ρ), 속도(V), 높이(z)가 일정하면, 유동 중에 유체의 기계적 에너지는 변화하지 않는다고 설명합니다.
따라서, 유압의 기계적 에너지의 변화는 유체의 압력, 밀도, 속도, 높이가 변화 합니다.
유압에너지는 압력이므로 압력을 사용하면 압력이 내려가고, 온도와 일(속도)은 증가합니다.
온도는 기계적 에너지가 아니므로 에너지 손실에 해당합니다.
베르누이 방정식
베르누이(Bernoulli) 방정식은 기계적 에너지가 보존되는 경우의
법칙으로 생각할 수 있다.
![]()
베르누이 방정식은, 비행기의 날개단면 윗부분에서 속력이 증가하면 압력이 감소하여 양력이 발생하는 원리와,
벤추리관(Venturi Pipe)에서 액체가 흡입되는 원리를 설명한다.
<비행기 날개의 양력발생 원리>
![]()
<벤추리관의 속도와 압력 관계 설명>
유압장비 개발, 제작 문의는 메일(sicontrole@gmail.com)으로 연락하시면 됩니다.





